DIGICOD M2L : Gestion sécurisée des accès

Application C# pour contrôler l'accès aux bâtiments et aux salles informatiques

Contexte du projet

Le projet DIGICOD M2L a été réalisé dans le cadre du BTS SIO. L'objectif est de sécuriser l’accès aux locaux de la Maison des Ligues de Lorraine (M2L) pendant les heures non ouvertes au public.

L’application permet de gérer les autorisations d’accès aux bâtiments et à la salle informatique via une liste stockée dans un fichier Excel. Le projet a été développé en C# avec une gestion de lecture et d’écriture de fichiers, et une interface graphique intuitive.

Fonctionnalités principales

Connexion sécurisée

Authentification par matricule et mot de passe avec contrôle de validité.

Liste de diffusion

Consultation des personnes autorisées à accéder au bâtiment et à la salle informatique.

Gestion des autorisations

Ajout, suppression et modification des utilisateurs dans la liste Excel.

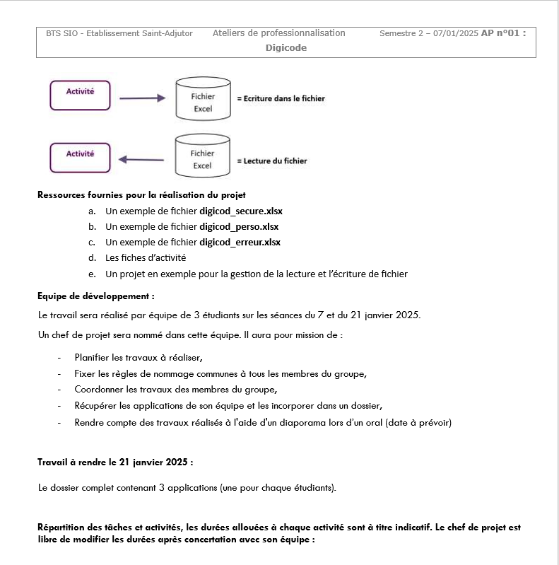
Lecture & écriture Excel

Traitement des fichiers digicod_perso.xlsx pour la gestion des accès.

Maquettes & Captures du projet

Sujet DIGICOD
Sujet DIGICOD
Présentation du projet de sécurisation des accès M2L.
Contexte M2L
Sujet DIGICOD
Présentation du projet de sécurisation des accès M2L.
Organisation du projet
Organisation & planning
Répartition des tâches et travail en équipe.
Liste de diffusion
Ma partie
Modification liste diffusion
Ma partie
Code C# lecture fichier
Page de connexion
Connexion avec un matricule et un mot de passe valide.
Code gestion liste
Page liste de diffusion
Validation & contrôles
Page Modification
Ajout, suppression et modification des utilisateurs.
Validation & contrôles
Code C# - Lecture fichier
Traitement des données Excel en C#.

Compétences développées